
Estheticians are faced with problems of pigmentation every day. Some clients want to be lighter, some darker; some have white spots, dark pigmented spots, freckles or melasma. It is difficult to know what to do for most of these clients without having a good foundation in the science of pigmentation. It takes years to learn all there is to know about human pigmentation, and even longer to put it into practical use. Some additional background is needed in the basic science of pigment-formation, as well as more information about the melanocyte, how melanin is formed and the different types of melanin. Armed with this information, you can judge what treatments and products can and cannot do for your clients. This article is not a how-to article—not a cookbook series of recipes—but it is solid information about melanin and melanocytes that will provide a good foundation resulting in a better understanding of human pigmentation.
Skin color and the melanocyte
Skin color in humans is produced by three compounds: hemoglobin, carotene and a pigment called melanin, which is the topic of this article. There is much new information in the scientific literature about pigmentation and melanin in particular, but some of it is controversial. A clear understanding of what melanin is, where it comes from and how it is regulated is essential, as this knowledge will help form the basis of a rational treatment program when faced with pigmentation problems.
The melanocyte is a dendritic cell with finger-like projections and is found in the basal layer of the epidermis. It is a free-ranging cell without desmosomes or tonofilaments. In appearance, microscopically it has a small dark nucleus and a clear cytoplasm, depending on the histological stain used to visualize it. Melanin is made in solid structures known as melanosomes. Melanosomes are organelles bound to membranes located in the cytoplasm of melanocytes that carry the tyrosinase enzyme. Melanosomes are responsible for melanin synthesis and pigment transfer from the melanocyte to the associated keratinocytes by a process called phagocytosis. In this article, the origin of the melanocyte, how the melanosome and melanin are formed, and how the melanosome is transferred from the melanocyte to the keratinocyte will be discussed.
The embryo
One week after conception until the end of the second month, a developing child is known as an embryo. After the eighth week, the developing child is called a fetus. It is in the early stages of embryonic development that melanocytes appear. Cellular division yields a small hollow ball of cells, which then invaginates to form a tube within a tube in a process known as gastrulation. The all-powerful embryonic cells now undergo an incredible change and differentiatea into three cell types that are called germ layers. The outer layer is the ectoderm, the middle layer is the mesoderm and the inner layer is the endoderm. This is an important bit of biological information because it is from these three cell layers that all the rest of a human’s cells, tissues and organs originate.
As the gastrulation process progresses, the mesodermal cells form a structure called the notochord. As the notochord develops, it marks the midline of the embryo, and just above the notochord, the ectoderm begins to lay down the neuroectoderm, which will become the entire nervous system. This structure will give rise to the neural crest, from which will come all the melanocytes, and that is why you need to know about embryonic development. This relationship is illustrated and diagramed in Figure 1; however, it is simplified to include only the essential structures you need to know.
Migration of the melanocytes
Melanocytes originate in the neural crest, but they are also found in a few other places: the eyes, hair, ears and leptomeningesb of the brain all contain melanocytes. What is interesting about this is that they must have different functions other than environmental protection, as do epidermal melanocytes. This is a different topic and, although it is exciting, little is known about these functions.
The pigmented cells migrate as melanoblastsc, which are the precursors of melanocytes. Eventually, the skin melanoblasts end up in the basal layer of the epidermis. Keep in mind that the migration of the melanoblasts occurs in the embryo, and that these cells must move from the neural crest to the dermis of the skin. Briefly, that pathway follows the lateral structures of the embryo, namely the space between the somites and the ectoderm to eventually reach the basal layer of the epidermis via the dermis. If you look at this pathway in Figure 2 you will see the structures clearly. It is important to understand this because the melanoblasts must pass through many types of tissues and proteins and need to be protected from attack by these structures. As a blast cell, it is not fully differentiated and thus does not have the antigenicityd of fully developed cells. Although the immune system is poorly developed in a fetus, it is almost nonexistent in the embryo.e
To review this pathway, all melanocytes originate in the neural crest, make their way to the epidermis through the embryonic tissues and land in the dermis. From here, they enter the epidermis and reside in the basal layer. Investigators say this migration is nearly complete by the seventh week of gestation and is fully completed by week 11, though some say sooner.1
Making melanosomes
Now that melanoblasts are in the epidermis, they will fully differentiate and do their job. The major function of melanocytes is to make melanosomes and then transfer them to the keratinocytes so they will act as a shield against ultraviolet (UV) radiation. Just these two topics alone would fill hundreds of pages , but this article will coveronly the essential steps for each process. f
The formation of melanin in a melanosome occurs in four stages.
Stage I: The premelanosome. Melanosomes are specialized organelles within melanocytes and retinal pigment epithelial cells, in which melanin pigments are generated and stored. The melanosome starts out as a hollow vesicle from a lysosome.g A special protein known as Pmel17 is an integral membrane protein uniquely expressed by melanocytes and is found in the premelanosome matrix. This protein forms a fiberlike network on which the melanosome is constructed. These fibers serve to sequester and concentrate the newly formed melanins in a certain area of the melanocyte. No pigment is present at stage I; the melanosome is forming, but it is colorless.
Stage II: Laying down the matrix. This stage is characterized by the elongation of the melanosomes and completion of the scaffold-like matrix of melanofilaments. No pigment appears at this stage, but the melanosomes are ready to receive the tyrosinase-related proteins that will initiate the production of melanin pigment. The first and second stages prepare the melanosome to become a pigmented particle by preparing the mechanical parts of the particle.
Now a fascinating process is going on during all of this. Up in the Golgi apparatus, tiny structures known as clathrins are busy gathering tyrosinase enzymes to shuttle through the cells to the stage II melansomes. The transfer of manufactured lipids and proteins from the rough endoplasmic reticulum (ER) requires transport vesicles that pinch off from the rough ER and then fuse with the target membranes. These vesicles are about 35–80 nanometers (nm) in size and are coated with a bristlelike lattice of the clathrin subunits. Clathrin, a fairly large protein, is actually one key element of the intracellular transport of proteins. The clathrin’s coat forms a basket around the vesicle, and employs cytoskeletal elements with the actual structure of the clathrin specific to each type of cell. This process is outlined in Figure 3, showing stage II melansomes and the role of clathrins.
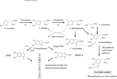
Stage III: Tyrosinase-related proteins. This is the beginning of melanin formation because the pigment is laid down on the scaffolding of the stage II melanosomes. From the onset, let me make clear that the last word has yet to be written on melanogenesis, or melanin formation, and what is presented here is simply the best of the current understanding of the process. The formation of melanin is a biochemical event driven by three enzymes and many ancillary stimulators, beginning in stage III melanosomes and continuing in stage IV melanosomes, which are filled with pigment. It all begins with the amino acid phenylalanine, which is converted to amino acid tyrosine by the enzyme phenylalanine hydroxylase.h The next step is to convert the tyrosine to dihydroxyphenylalanine (L-DOPA), which requires the enzyme tyrosine hydroxylase. The third enzyme is tyrosinase, and it converts L-DOPA to L-DOPA quinone. This is the key step in the synthesis of melanin. From the compound L-DOPA quinone, all the other steps are derived, but these are less clearly defined in melanogenesis. One of these final steps involves complexing the melanin with protein. The formative process is diagramed in Figure 4 with some notes on the steps. It is not difficult to understand when you see that tyrosinase is the key enzyme, and that the final product, melanin, is a polymeric material complex with protein. In Figure 5, the active molecules have been identified to make this process clearer.
Major types of melanin
Figure 4 contains the words eumelanin and pheomelanin. These types of melanin have biologically different responses to UV light. The eumelanin is black/brown and the pheomelanin is red/yellow. Both of these pigments arise from the same enzymatic pathway; however, there is a switch that sends more pheomelanin into production, controlled by a gene known as the melanocortin 1 receptor (MC1R) gene that is located in the melanocytes of hair follicles.i When this gene is functioning normally, only eumelanin is produced, but if it functions poorly, then pheomelanin is produced. Most humans with red hair carry a poorly functioning MC1R gene, and individuals who carry this gene, well-functioning or not, have red hair and freckles.
Pheomelanin is not able to withstand UV radiation, tends to break down into photosensitizing compounds and also generates free radicals. There is a certain amount of pheomelanin in most individuals, more in those with Fitzgerald Skin Type I and less in those with Type IV skin.2, 3 The relative amounts of eumelanin to pheomelanin may determine an individual’s susceptibility to UV light and skin cancer.
Just a note on hair color: Lack of pheomelanin means no red hair. MC1R decides which pigment gets made, while other genes decide in what amounts. A strawberry blonde hair color inherits two badly functioning MC1R genes and, depending on how well they work, some individuals will have dark or light red hair. Blondes have only a little pheomelanin, but enough to produce a light hair color without red tones.
What controls melanin production? This question is one everyone wants to know the answer to if they are interested in skin-lightening agents and pigmentation disorders. Just like everything else about pigment formation, all the answers are not known yet, but a great deal of research is underway throughout the world.
The control of melanogenesis
Why does the skin around a pimple become a darker color? Why is pregnancy associated with increased pigmentation? The key elements in the regulation of melanogenesis are believed to be represented by tyrosinase and tyrosine transporter protein (TyrP). This regulation is quite complex as evidenced by the large number of genes and associated binding sites of an additional large family of transcription factors.j Much of this can be boiled down to one step at the intracellular level, because the major regulatory pathway involves a common mediator, cyclic adenosine monophosphate (cAMP), which is also known as a second messenger. In addition, both tyrosine and L-DOPA are themselves regulators of melanogenesis.
Let’s start with the melanocyte. It needs messengers to tell it to make melanin; so, what are these messengers? Well, there are a lot of them, but they can be divided into groups to make it easier to remember. Microphthalmia-associated transcription factor (MITF), proopiomelanocortin (POMC), which gives rise to melanocyte-stimulating hormone (MSH), adrenocorticotrophins (ACTH) and beta-endorphins, catecholamines, acetylcholine and estrogen, to name just a few.4, 5, 6, 7 To cover each one of these agents and how they work would require much more detailed biochemistry, but for the sake of this discussion, they can be lumped into a single pathway, the aforementioned cAMP.
Figure 6 displays the various stimulators of melanogenesis reacting with their specific receptors and producing a biological cascade to eventually result in the formation of cAMP, which stimulates tyrosinase formation in the nucleus. UV light stimulates melanin production, as do other inflammatory biochemicals. All of this requires very strict enzyme control; if any enzyme in the system is missing, melanin cannot be produced. Tyrosinase is the major enzyme required for the synthesis of melanin and most of the stimuli are directed to promoting the production of melanin. Tracing this key enzyme that produces melanin is essentially the story of melanocyte physiology. Melanin is actually made in the melanosomes and must be transferred to the keratinocyte to produce skin color. This process is the next topic.
The transfer of melanosomes from melanocytes to keratinocytes is unique in human biology—no other combination of cells transfers an organelle. Three steps are required to make this transfer.
Step 1: The formation of the dendrite. Dendrites are fingerlike projections of cells. The Langerhans cell and the melanocyte are the only two cells in the epidermis that have dendritic projections. Formation of the dendrite is quite an operation, involving many genes, two of which are the Rho and Rac genes, which are molecular switches.k The dendrite is essentially an extension of the material in the cytoplasm of the melanocyte (or any other dendritic cell). The purpose in forming a dendrite, of course, and in the case of the melanocyte, is to transport melanosomes. Microtubulesl must be assembled and many proteins made to achieve this action, and this is the role of the proteins Rho and Rac. The dendrite having been formed, the melansomes can now be moved.8, 9
Step 2: Melanosomes to the dendrite. Think of this process as a track on which a train runs. Cytoskeletal components known as microtubules form the surface on which the melanosomes are transported to the tip of the dendrite. The actual motive force is supplied by two other proteins called dynein, which transports the melanosomes to the end of the dendrite, and kynein, a motor protein that transports the melanosomes to the center of the cell. So in actuality, the melanosomes can move back and forth in the dendrite. The situation changes when the melanosomes are at the tip of the dendrite and are ready for transfer to the keratinocyte. At this point, they are ready to be transferred to the keratinocyte, but new players enter the field.10, 11
Step 3: Melanosomes to the keratinocyte. At the dendrite tip, a protein known as actin makes up fibers that are needed to transport the melanosomes further into new structures called filopodia, tiny thread-like tubes that are produced at the ends of the dendrite. Within these tiny structures, a protein known as RAB27A latches on to the melanosomes and then bind to a second protein called melanophilin. This whole complex then binds to Myosin Va, a transporter protein that then attaches the complex to actin in order to move it through the filopodia. You can see this structure in Figure 7. An awful lot of names to digest, I realize, but just understand that many steps are involved, and that if any one protein is not normal, pigmentation abnormalities will occur.12, 13, 14
The melanosomes are transferred to the keratinocyte through the filopodia; after this, what happens next is uncertain. Some scientists believe the melanosomes are removed from the filopodia by a process called exocytosis; that is, the melanosomes are shed into the cytoplasm by being forced out of the filopodia. The keratinocyte gather these melanosomes up by a process called endocytosis, surrounding them with a cell membrane and pulling them into the cytoplasm of the keratinocyte. Another group of scientists believe that the filopodia actually enter the membrane and the keratinocyte, and deposit the melanosomes inside the keratinocyte. At present, no one is sure who is right.15, 16
After the melanosomes enter the keratinocyte, they are transported to the centrosome of the nucleus, which points upward to protect the DNA in the nucleus from UV radiation. As the keratinocyte moves upward to the stratum corneum, the melanosomes will degrade in time and new cells will take the place of the exfoliated cells. This is the end of their journey. The complex process known as melanogenesis, which requires almost a hundred genes and many enzyme reactions, draws to a close. All of the defects in pigment are related to a defect in one of the genes. When you look at skin, eye or hair color, consider all the biological processes that are involved in just that one aspect of human development. Scientists have been studying skin pigment for more than 100 years and still there are many unanswered questions.
Practical application
Every esthetician knows that there are many types of pigment problems, and with the information in this article, the source of many of these problems will become apparent. For example, take the condition known as albinism, a lack of melanin production caused by a defective tyrosinase enzyme. There are many types of albinism and not all of them have been fully identified as to biological mechanisms. When the esthetician sees a pigmentation problem, the first question to be answered is: Is this a primary melanocyte problem, a melanin production problem, a melanosome transfer problem, a genetic origin or an environmental origin? Knowing the answer to these questions will help the esthetician address the problem.
The major target in reducing pigmentation is the enzyme tyrosinase, since it is the key enzyme in the production of melanin. Many agents are available to block the actin tyrosinase, as well as various other sites in the melanogenesis pathway. A second approach is to block the stimulators of tyrosine. MSH is one key stimulator that can be inhibited with a phony peptide designed to tie up the MSH receptor on the cell. A third way is to inhibit the transfer of melanosomes to the keratinocyte and one agent known to do just that is niacinamide. A fourth way is to exfoliate the stratum corneum cells to remove those that contain melanin. Above all, using sunscreen and staying out of high UV exposure areas, such as beaches and snowy areas, are the most effective means of limiting melanin formation. By knowing the various steps that are necessary to form melanin, you can plan a skin-lightener program by choosing a combination of agents that inhibit melanin at several production points.
Footnotes
a Differentiation is a biological process in which a cell becomes more specialized and more defined.
b Leptomeninges are two thin membranes that cover the brain. The term is used to refer to the pia mater and arachnoid mater, the former is on the brain surface and the latter is just above it.
c Blast cells are stem cells—early cells with division and differentiation potential.
d Antigenicity is the ability to elicit an immune response; that is, a reaction to a nonself protein.
e This is a very complex topic and relates to how the embryo and fetus must protect itself from the mother’s immune system. It relates to a lot of the cancer research in stem cells and immunogenicity.
f Melanocytes that are not in the skin do not transfer their melanosomes to other cells.
g Lysosomes are hollow blister-like structures that serve as cellular disposal systems by breaking down waste products, including discarded protein.
i MC1R gene converts pheomelanin to eumelanins.
h Lack of this enzyme causes a disease known as phenylketonuria (PKU) that is associated with mental disability. The incurable condition is inherited, but fully treatable with a diet low in the amino acid phenylalanine and high in tyrosine. It is easily detected in infants by a urine test. The children afflicted with PKU have blond hair and blue eyes.
j Transcription factors are peptides or proteins that enter the nucleus and activate genes.
k The Rho family of GTPases is a family of small (~21 kDa) signaling proteins and is a subfamily of the Ras superfamily. The Rho group regulates many aspects of intracellular action dynamics. Rho proteins have been described as molecular switches that play a role in cell proliferation, apoptosis, cell division, gene expression and many other common cellular functions.
l Microtubules are one of the components of the cytoskeleton. They serve as structural components within cells and function in cellular processes including mitosis, cytokinesis and transport.
References
1. AA Zimmerman and SW Becker, Melanocytes and melanoblasts in fetal negro skin, In Illinois Monographs in Medical Science, University of Illinois Medical Press: Urbana, IL (1959) pp 1–55
2. E Wenczl, GP Van der Schans, L Roza, RM Kolb, AJ Timmerman, NP Smit, S Pavel and AA Schothorst, (Pheo)melanin photosensitizes UVA-induced DNA damage in cultured human melanocytes, J Invest Dermatol 111 678–682 (1998)
3. S Takeuchi, W Zhang, K Wakamatsu, S Ito, VJ Hearing, KH Kraemer and DE Brash, Melanin acts as a potent UVB photosensitizer to cause an atypical mode of cell death in marine skin, Proc Natl Acad Sci USA 101 15076–15081 (2004)
4. SA Grando, MR Pittelkow, KU Schallreuter, Adrenergic and cholinergic control in the biology of epidermis: physiological and clinical significance, J Invest Dermatol 126(9) 1948–1965 (2006)
5. JD Spencer, H202-mediated oxidation affects POMC processing and POMC derived peptides in the human epidermal using vitiligo as a model for oxidative stress, University of Bradford, West Yorkshire, United Kingdom (2007)
6. JM Gillbro, LK Marles, NA Hibberts, et al. Autocrine catecholamine biosynthesis and the beta adrenoceptor signal promote pigmentation in human epidermalmelanocytes, J Invest Dermatol 123(2) 346–353 (2004)
7. MJ Thornton, LD Nelson, AH Taylor, et al. The modulation of aromatase and estrogen receptor alpha in cultured human dermal papilla cells by dexamethasone: a novel mechanism for selective action of estrogen via estrogen receptor beta, J Invest Dermatol 126(9) 2010–2018 (2006)
8. R Busca, C Bertolotto, P Abbe, W Englaro, T Ishizaki, S Narumiya, P Boquet, JP Ortonne and R Ballotti, Inhibition of Rho is required for cAMP-induced melanoma cell differentiation, Mol Biol Cell 9 1367–1378 (1998)
9. G Scott and S Leopardi, The cAMP signaling pathway has opposing effects on Rac and Rho in B16F10 cells: implications for dendrite formation in melanocytic cells, Pigment Cell Res 16 139–148 (2003)
10. HR Byers, M Yaa, MS Eller, NL Jalbert and BA Gilchrest, Role of cytoplasmic dynein in melanosome transport in human melanocytes, J Invest Dermatol 114 990–997 (2000)
11. M Hara, M Yaar, HR Byers, D Goukassian, RE Fine, J Gonsalves and BA Gilchrest, Kinesin participates in melanosomal movement along melanocytedendrites, J Invest Dermatol 114 438–443 (2000)
12. SM Wilson, R Yip, DA Swing, TN O’Sullivan, Y Zhang, EK Novak, RT Swank, LB Russell, NG Copeland and NA Jenkins, A mutation in Rab27a causes the vesicle transport defects observed in ashen mice, Proc Natl Acad Sci USA 97 7933–7938 (2000)
13. DC Barral, JS Ramalho, R Anders, AN Hume, HJ Knapton, T Tolmachova, LM Collinson, D Goulding, KS Authi and MC Seabra, Functional redundancy of Rab27 proteins and the pathogenesis of Griscelli syndrome, J Clin Invest 110 247–257 (2002)
14. M Fukuda, TS Kuroda and K Mikoshiba, Slac2-a/melanophilin, the missing link between Rab27 and myosin Va: implications of a tripartite protein complex for melanosome transport, J Biol Chem 277 12432–12436 (2002)
15. G Scott, S Leopardi, S Printup and BC Madden, Filopodia are conduits for melanosome transfer to keratinocytes, J Cell Sci 115 1441–1151 (2002)
16. G Scott and Q Zhao, Rab3a and SNARE proteins: potential regulators of melanosome movement, J Invest Dermatol 116 296–304 (2001)
.png?auto=format%2Ccompress&fit=max&q=70&w=400)
.png?auto=format%2Ccompress&fit=max&q=70&w=400)
.png?auto=format%2Ccompress&fit=max&q=70&w=400)
.png?auto=format%2Ccompress&fit=max&q=70&w=400)
.png?auto=format%2Ccompress&fit=max&q=70&w=400)
.png?auto=format%2Ccompress&fit=max&q=70&w=400)
.png?auto=format%2Ccompress&fit=max&q=70&w=400)










